You are seeing the paginated version of the page.
It was specially created to help search engines like Google to build the proper search index.

Click to load the full version of the page
Mercredi 29 avril 2020 Document 5
Posted by fransocent
Mise à jour du Mercredi 29 avril 2020 Correction Séance 4
Attention: Cette séance est à recopier dans votre classeur (partie Lecture-écriture).

Posted by fransocent
Les astuces de Kamini
Comment accorde-t-on les adjectifs de couleur ? Comment distingue-t-on le futur et le conditionnel ? De quelle manière accorde-t-on le participe...
Original link
Posted by fransocent
Mercredi 29 avril 2020
Séance 5 : La fin d'un rêve Objectif : Etudier la progression dramatique du récit Document 5 : extrait de La parure de Maupassant
Répondez aux problématiques suivantes (qui sont les mêmes) dans la partie Lecture-écriture de votre classeur en une dizaine de phrases à partir du document 5. Problématique : En quoi peut-on parler d'une progression dramatique dans cet extrait ? En quoi le récit progresse-t-il de manière dramatique pour les personnages dans ce passage ?


Posted by fransocent
Séance 4 : Un soir glorieux !
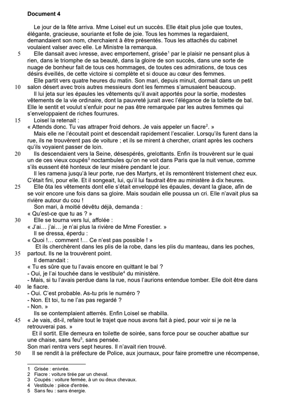
Objectif: Etudier un retournement de situation Document 4 : extrait de La parure de Guy de Maupassant Activités : a) Lisez le document 4 et coupez ce texte en deux parties en mettant les numéros de lignes. Donnez un titre à chacune de vos parties et justifiez-les brièvement. b) Observez le tableau de Jean Béraud et repérez la place que pourrait occuper Mathilde Loisel. Justifiez votre choix. --------------------------------------------------------------- Répondez aux problématiques suivantes en une dizaine de phrases : - Peut-on avoir de la peine pour Mathilde ? Pour quelle(s) raison(s) ? - Que révèle le retournement de situation dans ce récit ?

Posted by fransocent

Mise à jour Mercredi 01/04/20 13:57:20 Voici le nouvel extrait de La parure de Guy de Maupassant. Vous trouverez, juste après le document, les consignes pour étudier ce passage. Vous pouvez m'envoyer un courriel pour des questions, des doutes ou tout simplement utiliser la case "Commenter"  sous le document et je vous répondrai très rapidement.

Bon courage ! M. SOCENT
Posted by fransocent
Posted by fransocent
Document 4
Posted by fransocent
Dictée d'Archibald : dictée en français en ligne
Découvrez la dictée d'Archibald, simple, ludique et gratuite. Apprenez le français en vous amusant avec TV5MONDE !
Original link
Posted by fransocent
Fiche Langue Paroles Rapportées
Posted by fransocent